注射用盐酸表柔比星

通用名称:注射用盐酸表柔比星

英文名称:Epirubicin Hydrochloride for Injection

汉语拼音:Zhusheyong Yansuan Biaoroubixing


注射用盐酸表柔比星
  • 产品介绍
  • 立即下载

【药品名称】

通用名称:注射用盐酸表柔比星

英文名称:Epirubicin Hydrochloride for Injection

汉语拼音:Zhusheyong Yansuan Biaoroubixing


【成份】

本品的活性成份为盐酸表柔比星

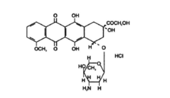
化学名称:(7S:9S)-9-羟乙酰基-4-甲氧基-7,8,9,10-四氢-6,7,9,11-四羟基-7-O-

(2,3,6-三去氧-3-氨基-α-L-阿拉伯吡喃糖基)-5,12-萘二酮盐酸盐

化学结构式:

注射用盐酸表柔比星

分子式:C27H29NO11?HCl

分子量:579.98

辅料:乳糖、对羟基苯甲酸甲酯

【性状】

本品为红色或橙红色疏松块状物或粉末;有引湿性。

【适应症】

治疗恶性淋巴瘤、乳腺癌、肺癌、软组织肉瘤、食道癌、胃癌、肝癌、胰腺癌、

黑色素瘤、结肠直肠癌、卵巢癌、多发性骨髓瘤、白血病。

膀胱内给药有助于浅表性膀胱癌、原位癌的治疗和预防其经尿道切除术后的复

发。


【规格】

10mg(按C27H29NO11?HCl 计)

【用法用量】

配制方法:用5mL 0.9%无菌氯化钠溶液或注射用水溶解(溶解时限见【注意事项】下“关于给药说明”)。

常规剂量:表柔比星单独用药时,成人剂量为按体表面积一次60~120mg/m2,当表柔比星用来辅助治疗腋下淋巴阳性的乳腺癌患者联合化疗时,推荐的起始剂量为100~120mg/m2静脉注射,每个疗程的总起始剂量可以一次单独给药或者连续2-3天分次给药。根据患者血象可间隔21天重复使用。

优化剂量:高剂量可用于治疗肺癌和乳腺癌。单独用药时,成人推荐起始剂量为按体表面积一次最高可达135mg/m2,在每疗程的第1天一次给药或在每疗程的第1、2、3天分次给药, 3-4周一次。联合化疗时,推荐起始剂量按体表面积最高可达120mg/m2,在每疗程的第1天给药, 3-4周一次。静脉注射给药。根据患者血象可间隔21天重复使用。

膀胱内给药:表柔比星应用导管灌注并应在膀胱内保持一小时左右。在灌注期间,患者应时常变换体位,以保证膀胱粘膜能最大面积地接触药物。

为了避免药物被尿液不适当的稀释,应告知患者灌注前12小时不要饮用任何液体。医生应指导患者在治疗结束时排空尿液。

浅表性膀胱癌,表柔比星50mg溶于25至50mL生理盐水中,每周一次,灌注8次。对于有局部毒性(化学性膀胱炎)的病例,可将每次剂量减少

至30mg,患者也可接受50mg每周一次共4次、然后每月一次共11次的同剂量药物膀胱灌注。医生可根据患者病情调整给药次数。